Cách tính nồng độ cồn trong máu và khí thở chuẩn y khoa 2025: Uống bao nhiêu thì dính phạt?
Trong bối cảnh quy định pháp luật về trật tự an toàn giao thông tại Việt Nam ngày càng thắt chặt, đặc biệt là chính sách “Zero Tolerance” (Không dung thứ) đối với vi phạm nồng độ cồn, câu chuyện “đã uống rượu bia thì không lái xe” không còn là lời khuyên sáo rỗng mà là mệnh lệnh sinh tồn. Tuy nhiên, văn hóa giao tiếp, tiệc tùng, đám cưới hay những buổi tất niên cuối năm là điều khó tránh khỏi trong đời sống người Việt.
Sau mỗi cuộc vui, hàng loạt câu hỏi đầy lo lắng thường trực trong đầu các tài xế: “Mình uống 2 lon bia thì nồng độ cồn lên bao nhiêu?”, “Cân nặng thế này thì bao lâu mới hết cồn?”, hay “Làm thế nào để biết chính xác mình có an toàn để cầm lái hay không?”. Việc nắm rõ cách tính nồng độ cồn không chỉ giúp bạn tránh được những mức phạt hành chính “khổng lồ” lên tới hàng chục triệu đồng, mà quan trọng hơn là bảo vệ tính mạng của chính mình và người tham gia giao thông.
Bài viết chuyên sâu dưới đây sẽ cung cấp cho bạn công thức tính toán chuẩn y khoa (Widmark), phân tích tốc độ đào thải cồn của gan và đưa ra bài toán kinh tế so sánh giữa việc “liều mình lái xe” và sử dụng dịch vụ Lái Hộ.
I. Hiểu đúng về “Đơn vị cồn” (Standard Drink) để tự lượng sức mình
Trước khi đi vào các công thức phức tạp, chúng ta cần đồng bộ hóa đơn vị đo lường. Rất nhiều người Việt lầm tưởng rằng “1 lon bia = 1 đơn vị cồn”. Đây là sai lầm tai hại dẫn đến việc ước lượng sai thời gian đào thải.
Theo quy chuẩn của Tổ chức Y tế Thế giới (WHO) và Bộ Y tế Việt Nam, một đơn vị cồn chuẩn tương đương với 10 gam cồn nguyên chất (Ethanol).
1. Công thức quy đổi đơn vị cồn từ đồ uống thực tế
Để biết bạn đã nạp bao nhiêu đơn vị cồn vào người, hãy dùng công thức sau:

Trong đó, 0.79 là tỷ trọng riêng của cồn (nhẹ hơn nước).
2. Bảng quy đổi các loại đồ uống phổ biến tại Việt Nam
Dựa trên công thức trên, chúng ta có bảng quy đổi thực tế mà bạn thường gặp trên bàn nhậu:
-
Bia lon 330ml (ví dụ: Tiger, Heineken, Saigon Lager – 5%)
Cách tính: 330 x 0.05 x 0.79 / 10 ≈ 1.3 đơn vị cồn
Lưu ý: Uống 1 lon bia là đã hơn 1 đơn vị cồn. - Bia hơi Hà Nội / Sài Gòn (cốc 330ml – khoảng 4%)
Cách tính: 330 x 0.04 x 0.79 / 10 ≈ 1.04 đơn vị cồn - Rượu vang đỏ / trắng (ly tiêu chuẩn 135ml – 13.5%)
Cách tính: 135 x 0.135 x 0.79 / 10 ≈ 1.44 đơn vị cồn - Rượu mạnh / Rượu nếp cái hoa vàng (chén 30ml – 40%)
Cách tính: 30 x 0.4 x 0.79 / 10 ≈ 0.95 đơn vị cồn
(≈ 1 đơn vị cồn) - Rượu ngâm thuốc / Rượu quế
Thường không rõ nồng độ, ước tính khoảng 35–45%.
Loại này nguy hiểm nhất vì khó xác định chính xác nồng độ.
Thông thường dao động từ 1 đến 1.2 đơn vị cồn cho mỗi chén 30ml.
Kết luận: Chỉ cần uống một lon bia 330ml, bạn đã nạp vào cơ thể khoảng 1.3 đơn vị cồn. Với tốc độ đào thải trung bình của gan, bạn sẽ mất hơn 1 tiếng đồng hồ chỉ để xử lý xong lon bia đầu tiên này.
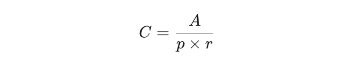
II. Công thức Widmark: Cách tính nồng độ cồn trong máu (BAC) chuẩn xác nhất
Trên thế giới, các cơ quan pháp y và y tế thường sử dụng công thức Widmark (phát triển bởi nhà khoa học Thụy Điển Erik Widmark) để ước tính nồng độ cồn trong máu (BAC – Blood Alcohol Concentration) tại thời điểm đạt đỉnh. Đây là cơ sở khoa học đáng tin cậy nhất để bạn tham khảo.
1. Công thức tính nồng độ cồn trong máu (C)
Công thức tính nồng độ cồn trong máu:

Trong đó các chỉ số là:
C (Concentration):
Nồng độ cồn trong máu
Đơn vị: g/l hoặc phần nghìn (‰)
A (Alcohol):
Khối lượng cồn nguyên chất đã uống (tính bằng gam)
Cách tính:
A = Số lượng đồ uống x Dung tích x Nồng độ x 0.79
p (Weight):
Trọng lượng cơ thể người uống (tính bằng kg)
r (Distribution factor):
Hằng số hấp thụ/phân bố cồn trong cơ thể
-
Nam giới: r ≈ 0.68
-
Nữ giới: r ≈ 0.55
Tại sao hằng số r của nữ thấp hơn nam?
Cơ thể phụ nữ thường có tỷ lệ mỡ cao hơn và tỷ lệ nước thấp hơn nam giới. Cồn tan tốt trong nước nhưng không tan trong mỡ. Do đó, với cùng một lượng rượu và cùng cân nặng, nồng độ cồn trong máu của phụ nữ sẽ cao đặc hơn nam giới.
2. Ví dụ tính toán thực tế (Case Study)
Hãy cùng phân tích trường hợp của Anh Tuấn, một nhân viên văn phòng nặng 70kg, tham gia tiệc tất niên và uống 5 lon bia (loại 330ml, 5% độ cồn).
Bước 1: Tính khối lượng cồn nguyên chất (A)
A = 5 lon x 330 ml x 0.05 x 0.79 = 65.175 gam cồn
Bước 2: Tính nồng độ cồn trong máu tối đa (C)
Áp dụng công thức Widmark cho nam giới (r=0.68):

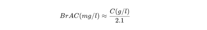
3. Quy đổi từ Máu sang Khí thở (BrAC)
Cảnh sát giao thông (CSGT) thường đo qua khí thở vì tính tiện lợi. Tỷ lệ quy đổi chuẩn quốc tế thường dùng là 1:2100 (2100ml khí thở chứa lượng cồn bằng 1ml máu).
Để ước lượng nhanh ra đơn vị mg/l khí thở (đơn vị ghi trong biên bản phạt), ta chia nồng độ trong máu cho 2.1:

Áp dụng cho anh Tuấn

Cảnh báo: Mức 0.65 mg/l khí thở này đã vượt xa mức kịch khung (Mức 3 là > 0.4 mg/l). Nếu Anh Tuấn lái xe ngay lúc này, anh chắc chắn sẽ nhận mức phạt cao nhất.
III. Thời gian đào thải: Uống xong bao lâu thì cơ thể “sạch” cồn?
Biết được nồng độ cồn là chưa đủ, câu hỏi quan trọng hơn là: Phải chờ bao lâu mới được lái xe?
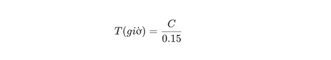
1. Tốc độ làm việc của gan
Gan là nhà máy xử lý hóa chất chính của cơ thể, đảm nhiệm việc chuyển hóa khoảng 90-95% lượng cồn. Phần nhỏ còn lại đào thải qua hơi thở, nước tiểu và mồ hôi.
Tốc độ đào thải trung bình của người Việt Nam khỏe mạnh là khoảng 0.15g cồn/lít máu/giờ (tương đương khoảng 1 đơn vị cồn/giờ).
Công thức tính thời gian đào thải (T):

2. Áp dụng vào trường hợp Anh Tuấn (5 lon bia)
Lúc nãy ta tính được nồng độ cồn trong máu của anh Tuấn là 1.37 g/l.
Thời gian cần thiết để đưa nồng độ này về 0 (Zero) là:

Phân tích kịch bản:
- Anh Tuấn bắt đầu nhậu lúc 19:00 và kết thúc lúc 21:00.
- Tại thời điểm 21:00, nồng độ cồn đạt đỉnh.
- Cần thêm 9 tiếng nữa để hết cồn $\rightarrow$ Đến 06:00 sáng hôm sau cơ thể mới sạch cồn về mặt lý thuyết.
Tuy nhiên, đây là điều kiện lý tưởng. Nếu Anh Tuấn có chức năng gan yếu, hoặc uống loại rượu có nhiều tạp chất (Andehit), thời gian này có thể kéo dài lên 12-15 tiếng. Đây là lý do rất nhiều tài xế bị phạt vào buổi sáng hôm sau dù cuộc nhậu đã tàn từ đêm trước. Hiện tượng này gọi là “cồn tồn dư”.
3. Các yếu tố làm chậm quá trình đào thải
Bạn không thể dùng ý chí để bắt gan làm việc nhanh hơn, nhưng có nhiều yếu tố khiến nó làm việc chậm đi:
- Hội chứng “Asian Flush” (Đỏ mặt): Người bị đỏ mặt khi uống rượu thường thiếu hụt enzym ALDH2. Acetaldehyde (chất độc) tích tụ lâu trong máu, khiến quá trình giải rượu chậm hơn người bình thường rất nhiều.
- Uống khi đói: Cồn hấp thụ vào máu nhanh hơn (sốc cồn) gây quá tải cho gan.
- Chức năng gan suy giảm: Người bị gan nhiễm mỡ, viêm gan sẽ có tốc độ đào thải thấp hơn mức 0.15 rất nhiều.
IV. Đối chiếu kết quả tính toán với Mức phạt hiện hành
Tại Việt Nam, Nghị định 100/2019/NĐ-CP (sửa đổi bởi Nghị định 123/2021/NĐ-CP) áp dụng mức phạt rất nghiêm khắc.
Việc tính toán ở trên giúp bạn hình dung mức độ nghiêm trọng. Ví dụ với kết quả 0.65 mg/l khí thở của Anh Tuấn, anh ấy đang đối mặt với khung hình phạt nào?
Để xem chi tiết bảng giá phạt cho từng loại phương tiện (Ô tô, Xe máy, Xe đạp) và thời gian tước bằng lái tương ứng, bạn hãy tham khảo bài viết chi tiết:
👉 [Tổng hợp mức phạt nồng độ cồn mới nhất 2025]
Tóm tắt nhanh hậu quả pháp lý ở mức kịch khung (>0.4 mg/l khí thở) mà Anh Tuấn có thể gánh chịu:
- Nếu lái Ô tô: Phạt tiền 30 – 40 triệu đồng + Tước bằng lái 22 – 24 tháng.
- Nếu lái Xe máy: Phạt tiền 6 – 8 triệu đồng + Tước bằng lái 22 – 24 tháng.
V. Bài toán kinh tế: Chọn “May rủi” hay chọn “Lái Hộ”?
Sau khi nắm rõ cách tính nồng độ cồn và thời gian đào thải, bạn sẽ thấy một sự thật: Để hoàn toàn sạch cồn sau một bữa nhậu chuẩn Việt (5-10 lon), bạn cần nghỉ ngơi từ 12-24 tiếng. Nhưng thực tế cuộc sống không cho phép chúng ta chờ lâu đến vậy.
Thay vì thấp thỏm lo âu, đánh cược sự nghiệp và tài sản vào trò chơi may rủi với chốt CSGT, hãy làm một phép tính kinh tế đơn giản.
1. Cái giá của việc tự lái (Chi phí rủi ro)
- Tiền phạt: Tương đương một chiếc xe máy SH Mode (40 triệu) hoặc vài tháng lương của người lao động.
- Chi phí cơ hội (Khi bị tước bằng 2 năm): Bạn sẽ phải đi Grab/Taxi trong suốt 24 tháng. Giả sử mỗi ngày tốn 100k đi lại X 730 ngày = 73 triệu đồng.
- Sự an toàn: Rủi ro tai nạn giao thông tăng gấp 7-10 lần khi có cồn. Thiệt hại về sức khỏe và xe cộ là vô giá.
2. Giải pháp từ Dịch vụ Lái Hộ (Chi phí thực tế)
Dịch vụ Lái Hộ (Thuê tài xế lái xe của bạn đưa bạn về nhà) đang trở thành “vật phòng thân” của giới doanh nhân và người hiện đại.
- Chi phí minh bạch: Chỉ từ 299.000đ – 499.000đ cho một chuyến đi an toàn về tận cửa (Chưa bằng 1/100 số tiền phạt).
- Bảo vệ tài sản: Bạn không phải vứt xe lại quán nhậu (lo mất gương, trầy xước) hay tốn tiền gửi xe qua đêm. Tài xế của Lái Hộ đều là những bác tài già dặn kinh nghiệm, lái tốt mọi dòng xe từ bình dân đến xe sang (Mercedes, BMW, Porsche…), xe số sàn hay tự động.
- Sự tiện lợi: Đặt tài xế qua App hoặc Hotline chỉ trong 30 giây. Tài xế có mặt sau 15-30 phút. Bạn có thể ngả lưng ngủ một giấc trên chính chiếc xe êm ái của mình và thức dậy an toàn tại nhà.
Lời khuyên chân thành: Đừng để một phút bốc đồng sau tay lái phá hủy nỗ lực làm việc cả năm của bạn. Dùng Lái Hộ không chỉ là tuân thủ pháp luật, đó là sự tính toán của người thông minh.
VI. Những lầm tưởng tai hại về nồng độ cồn
Ngoài việc biết cách tính toán, bạn cần loại bỏ ngay những “mẹo dân gian” sai lầm thường lan truyền trên mạng, tránh việc áp dụng sai dẫn đến hậu quả đáng tiếc.
1. “Nhai kẹo cao su, uống dầu ăn giúp đánh lừa máy đo?”
Sự thật: Vô tác dụng.
Máy đo nồng độ cồn của CSGT hiện nay sử dụng công nghệ cảm biến pin nhiên liệu (Fuel Cell). Nó đo nồng độ cồn trong khí thở từ phổi sâu (nơi diễn ra quá trình trao đổi khí giữa máu và phổi), chứ không chỉ đo mùi trong khoang miệng. Nhai kẹo cao su hay xịt thơm miệng chỉ làm mất mùi rượu chứ không làm giảm lượng cồn từ phổi đẩy ra.
Thậm chí, việc ngậm đồng xu hay uống dầu ăn còn có thể làm hỏng máy đo hoặc khiến CSGT nghi ngờ, yêu cầu bạn xét nghiệm máu – phương pháp có độ chính xác tuyệt đối.
2. “Ăn trái cây (vải, sầu riêng) cũng bị phạt?”
Sự thật: Có thể lên nồng độ cồn nhưng sẽ được xử lý linh hoạt.
Một số loại trái cây chín quá mức hoặc thực phẩm lên men (giấm, siro) có thể sinh ra lượng cồn nội sinh nhỏ trong khoang miệng. Tuy nhiên, lượng cồn này bay hơi cực nhanh.
Cách xử lý: Nếu bạn thực sự không uống rượu bia mà máy báo có cồn, hãy bình tĩnh giải thích và yêu cầu CSGT cho nghỉ ngơi, uống nước lọc và thổi lại sau 15 phút. Cồn từ trái cây sẽ biến mất hoàn toàn. Nếu vẫn còn lo ngại, bạn có quyền yêu cầu xét nghiệm máu để làm bằng chứng pháp lý cuối cùng.
Tạm kết
Việc nắm vững cách tính nồng độ cồn giúp bạn hiểu rõ giới hạn sinh học của cơ thể và lên kế hoạch nghỉ ngơi hợp lý. Tuy nhiên, mọi con số và công thức Widmark nêu trên đều chỉ mang tính chất tham khảo tương đối, bởi cơ thể mỗi người là một “cỗ máy” sinh học khác biệt với khả năng chuyển hóa khác nhau.
Không có công thức nào chính xác 100% để đảm bảo bạn “thoát chốt”. Cách duy nhất để nồng độ cồn bằng 0 khi ngồi sau vô lăng là… đừng ngồi sau vô lăng sau khi uống.
Hãy là người uống có trách nhiệm và là người lái xe thông thái. Hãy cài đặt ngay ứng dụng Lái Hộ hoặc lưu số hotline dịch vụ để luôn có “Phương án B” hoàn hảo cho mọi cuộc vui. Một chuyến xe vài trăm ngàn để bảo vệ sự nghiệp, tài sản và gia đình của bạn – đó chắc chắn là khoản đầu tư lãi nhất mà bạn từng thực hiện.

